Ο Μάξγουελ γεννήθηκε το 1831 στο Εδιμβούργο της Σκοτίας. Η οικογένειά του κατείχε σημαντική θέση. Η μητέρα του πέθανε όταν ήταν πολύ μικρός, έτσι πατέρας και γιος ήταν πολύ δεμένοι. Ο πατέρας του ήταν γαιοκτήμονας και ιδιαίτερα εκκεντρικός κάτι το οποίο επηρέασε και τον ίδιο τον Μάξγουελ στο ντύσιμό του. Όσον αφορά τη σχέση του με τον θεό ήταν απλοϊκή αλλά ειλικρινής. Σίγουρα σ’ αυτό τον επηρέασε ο χαμός της μητέρας του στη τρυφερή αυτή ηλικία.
Τα ξαδέλφια και οι φίλοι του Μάξγουελ, τον θυμούνται ως ένα πολύ περίεργο αγόρι που συνεχώς ρωτούσε «τι είναι αυτό;», αλλά ποτέ δεν ικανοποιούταν από την απάντηση.
Η οικονομική κατάσταση της οικογένειάς του επέτρεψε στον Μάξγουελ να φοιτήσει αρχικά στην Ακαδημία του Εδιμβούργου, έπειτα στο πανεπιστήμιο του Εδιμβούργου και σε δύο κολέγια του Κέιμπριτζ. Λόγω της σκοτσέζικης προφοράς του και των παράξενων ρούχων του, τα οποία τα σχεδίαζε ο ίδιος ο πατέρας του, δεν ήταν ιδιαίτερα αποδεκτός, μάλιστα είχε αποκτήσει το παρατσούκλι «Dafty», δηλαδή ο χαζούλης.
Στις αρχές της εφηβείας του ο Μάξγουελ ανέπτυξε ενδιαφέρον προς τα μαθηματικά και τις επιστήμες. Δημοσίευσε το πρώτο του ερευνητικό σύγγραμμα στην ηλικία των 14 ετών.
Σπούδασε Μαθηματικά, Φυσική και Φιλοσοφία. Ο άνθρωπος που επέβλεπε τις πανεπιστημιακές του σπουδές παρατήρησε την έντονη κλίση του προς τη Γεωμετρία και την ικανότητά του να επιλύει μαθηματικά προβλήματα με συνθετικές μεθόδους. Γενικότερα, ο Μάξγουελ ήταν ιδιαίτερα ευφυής, η σκέψη του δεν ήταν καθόλου αναλυτική αλλά συνθετική, έτσι δεν ήταν εύκολο για κάποιον ακροατή να τον παρακολουθήσει. Ήταν σαν η σκέψη του να ήταν γρηγορότερη από το λόγο του. Δεν υπήρχε πάντα συνειρμός, πήγαινε από τη μία ιδέα στην άλλη.
Ο Μάξγουελ, στο πρώτο άρθρο του πάνω στον ηλεκτρισμό σχετικά με τις δυναμικές γραμμές του Φάρανταϊυ, αναφέρει για την έννοια της αναλογίας:
Προκειμένου να συλλάβουμε φυσικές ιδέες χωρίς να αποδεχθούμε μία φυσική θεωρία πρέπει να αποκτήσουμε οικειότητα με την ιδέα της ύπαρξης φυσικών αναλογιών. Με τον όρο «φυσική αναλογία» εννοώ τη μερική ομοιότητα ανάμεσα στους νόμους μιας επιστήμης και σ’ εκείνους μιας άλλης, η οποία αναγκάζει τον καθένα απ’ αυτούς να επεξηγεί τον άλλο. Έτσι, όλες οι μαθηματικές επιστήμες είναι θεμελιωμένες σε σχέσεις μεταξύ φυσικών νόμων και νόμων των αριθμών, ώστε στόχος των μεθοδικών επιστημών είναι η αναγωγή των προβλημάτων της φύσης στον προσδιορισμό ποσοτήτων με πράξεις κι αριθμούς. Περνώντας από την πιο παγκόσμια όλων των αναλογιών σε μια μερική, βρίσκουμε την ίδια ομοιότητα στη μαθηματική μορφή μεταξύ δύο διαφορετικών φαινομένων να προκαλεί μια φυσική θεωρία φωτός.

Εργάστηκε δέκα περίπου χρόνια ως καθηγητής πανεπιστημίου. Τον περισσότερο όμως χρόνο του τον αφιέρωσε στις επιστημονικές του μελέτες πάνω στον ηλεκτρομαγνητισμό.
H συνεισφορά του Μάξγουελ ήταν σημαντική σε όλα σχεδόν τα πεδία της Φυσικής, τόσο στην οπτική, στη θεωρία της ελαστικότητας, στη θερμοδυναμική, στην κινητική θεωρία των αερίων, όσο και στην αστρονομία. Στην κινητική θεωρία των αερίων σημαντικότατη είναι μια καμπύλη κατανομής ταχυτήτων που πρότεινε με ένα Γερμανό συνάδελφο του (Καμπύλη Maxwell-Boltzmann).
Ωστόσο, το έργο του στον ηλεκτρομαγνητισμό ήταν αυτό που άνοιξε μια νέα εποχή στην επιστήμη, αφού αποτελεί τον συνδετικό κρίκο μεταξύ της φιλοσοφίας του Νεύτωνα και της θεωρίας του Αϊνστάιν.
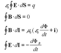
Οι φυσικοί ακόμη προσπαθούν να ενοποιήσουν τις δυνάμεις της φύσης σε μία Θεωρία του Παντός, μία ανησυχία που ξεκίνησε από τον Μάξγουελ, ο οποίος συνόψισε όλα τα γνωστά ηλεκτρομαγνητικά φαινόμενα σε τέσσερις μόνο μαθηματικές εξισώσεις.
Απ' αυτές προέκυπτε ότι η ταλάντωση ενός ηλεκτρικού φορτίου έχει ως αποτέλεσμα την εκπομπή ηλεκτρομαγνητικών κυμάτων και ότι τα κύματα αυτά διαδίδονται στο χώρο με την ταχύτητα του φωτός. Αυτό τον οδήγησε να συμπεράνει -σωστά όπως αποδείχθηκε αργότερα- ότι το φως δεν είναι παρά μια από τις πολλές μορφές των ηλεκτρομαγνητικών κυμάτων. Μάλιστα προς τιμή του Μάξγουελ η ηλεκτρομαγνητική μονάδα μαγνητικής ροής ονομάστηκε "μονάδα Maxwell" (1Μα).
Οι εξισώσεις του Maxwell
Ο Σερ Χόρας Λαμπ, ένας διακεκριμένος μαθηματικός φυσικός είπε για τον Μάξγουέλ ότι «το φυσικό του ένστικτο τον έσωσε πραγματικά από σημαντικά σφάλματα».
Αυτό το φυσικό του ένστικτο φαίνεται από τα λόγια του ίδιου του Μάξγουελ σχετικά με τη κινητική θεωρία, «… εδώ βρίσκεται το πραγματικό πρόβλημα και πρέπει να είναι περίπλοκο.
Έσπασα το κεφάλι μου μ’ αυτό για πολύ καιρό, αλλά δεν κατέληξα πουθενά.
Η κινητική θεωρία είναι όμορφη και αληθινή, ωστόσο, περιέχει περίπλοκα πράγματα. Γιατί δεν δίνει τις σωστές ειδικές θερμότητες; Προκύπτουν τόσο απλά από υποθέσεις, που φαίνονται αναμφισβήτητες και επιπλέον, δίνουν σωστά αποτελέσματα και σε πολλές άλλες περιπτώσεις. Έχω την αίσθηση ότι μέχρι να λυθεί αυτό το μυστήριο, δεν είναι δυνατό να κατανοηθεί η αληθινή φύση της μοριακής δυναμικής».
Θα μπορούσαμε να πούμε ότι ο Μάξγουελ ήταν ουσιαστικά ο πρόδρομος της Σχετικής Θεωρίας. Μέσα από τις περίφημες εξισώσεις του φαίνεται η αναγκαιότητα να ενοποιήσει τη φύση, να βρει την αιτία που κρύβεται πίσω από τα πράγματα. Αυτό υποδηλώνει ότι τίποτα στη φύση δεν είναι ανεξάρτητο από το όλο, αλλά κάθε τι έχει την αντίστοιχη επίπτωση στο κόσμο. Και τα καταφέρνει, αφού ουσιαστικά αποδεικνύει ότι όλα στη φύση έχουν την ίδια προέλευση.
ΠΗΓΗ: nea-acropoli.gr